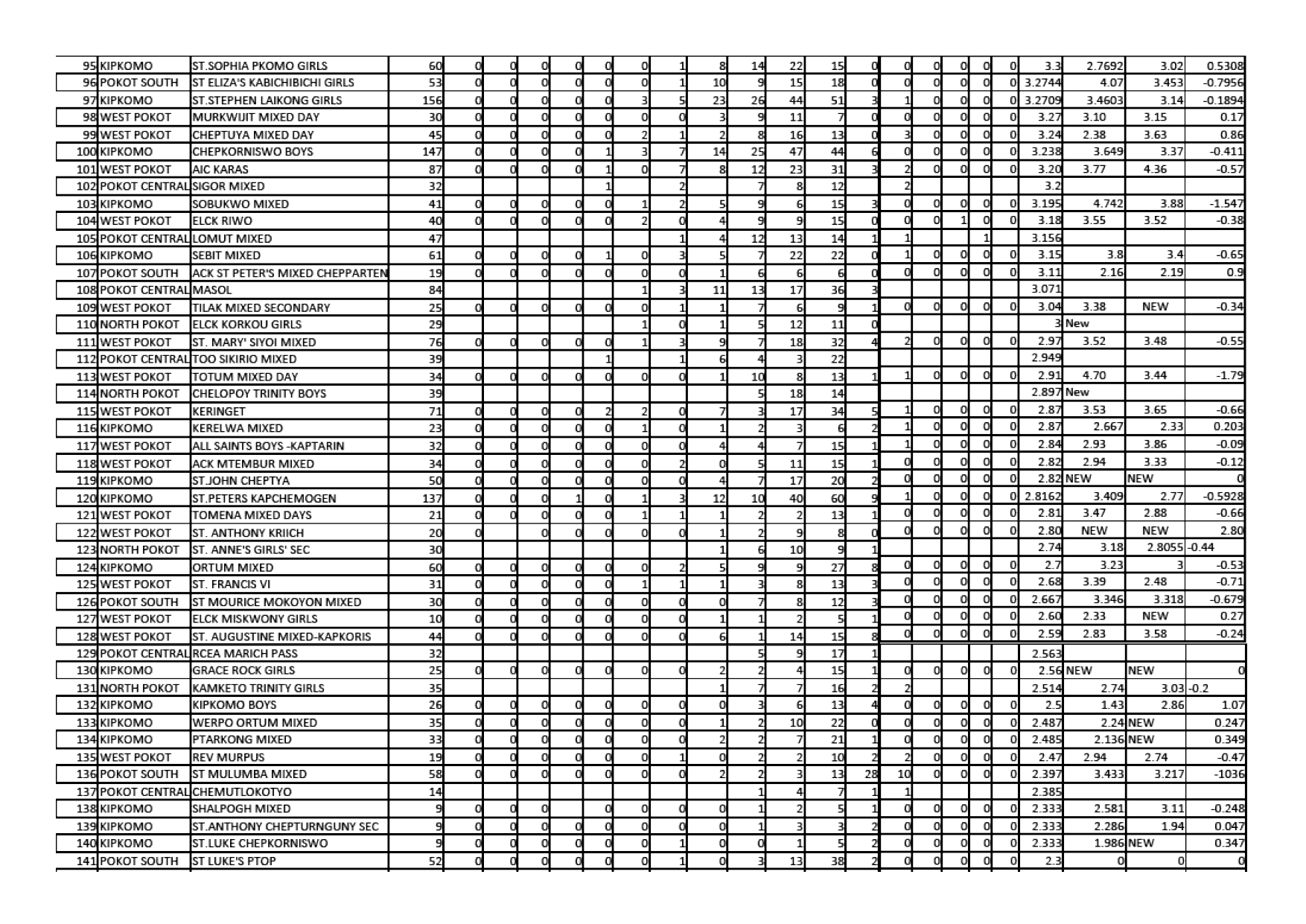
Below is the 2021 KCSE analysis for West Pokot county.


Find attached below the PDF copy of the list.
Analysis for other counties to be continued.
Education News is the leading newspaper on matters education
Kenya’s leading newspaper on education, widely read by teachers, students, lecturers, parents, and key education stakeholders nationwide.
Below is the 2021 KCSE analysis for West Pokot county.


Find attached below the PDF copy of the list.
Analysis for other counties to be continued.